Dies ist eine alte Version des Dokuments!
Benutzen Sie nicht alle Hilfen auf einmal. Wenn Sie die Lösung nicht alleine finden, hilft Ihnen schon der erste Tipp.
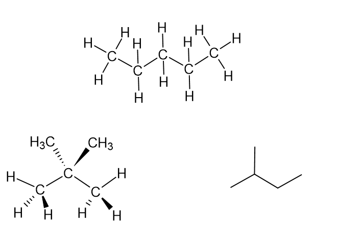
+ Tipp 1 Aufgabe 3
Beginnen Sie mit der längsten möglichen Kette.
Verkürzen Sie die Kette und überprüfen Sie mögliche Positionen für die „ausgebaute“ CH2- Gruppe.
+ Tipp 2 Aufgabe 3
Für das kürzere Pentan sehen Sie hier zwei gleiche Strukturen, da Sie die eine nur um 180° drehen müssten um die andere zu bekommen. Für ihre Aufgabe müssen Sie nur eins von beidem zeichnen.
+ Tipp 3 Aufgabe 3
Für Pentan ergeben sich nur drei unterschiedliche Strukturen. Überlegen Sie für Ihr Molekül wo Sie die zusätzliche CH2 gruppe anhängen Können um insgesamt 5 unterschiedliche Strukturen zu erhalten.